
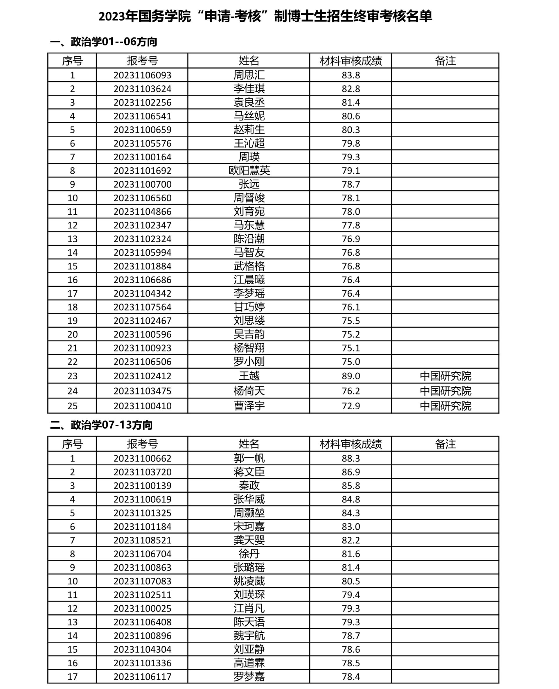
请所有进入复试考核的考生发送邮件到[email protected]确认是否参加复试考核,时间为2023年4月2日20:00前,邮件格式:“考生姓名+报考号+申请专业+研究方向+参加/不参加复试考核”,并在报考系统中确认“是否确认参加复试”。
复试考核分为笔试与面试两个环节,笔试时间为4月7日下午13:30-16:30,面试时间为4月9日,各位考生提前做好时间安排,其他关于复试考核具体安排以研究生报考系统复试通知安排为准。




请所有进入复试考核的考生发送邮件到[email protected]确认是否参加复试考核,时间为2023年4月2日20:00前,邮件格式:“考生姓名+报考号+申请专业+研究方向+参加/不参加复试考核”,并在报考系统中确认“是否确认参加复试”。
复试考核分为笔试与面试两个环节,笔试时间为4月7日下午13:30-16:30,面试时间为4月9日,各位考生提前做好时间安排,其他关于复试考核具体安排以研究生报考系统复试通知安排为准。


